Lastfaktor och svängradie

(Note: at the top of the page you can choose translation of this article to other languages, but don't expect the translation to be perfect — "Välj språk" means "Choose language")

Följande artikel utgör ett komplement till artikeln "Hur svänger ett flygplan?" (se länk nedan). Vi utgår här från formel 1 i denna artikel, dvs:

I huvudartikeln framgår att centrifugalkraften FCF (se nästa figur) är lika med centripetalkraften FCP (läsaren hänvisas till huvudartikeln för förklaring av dessa begrepp). Detta leder till följande samband (där vi använder formel 1):

Här har vi utnyttjat sambandet mellan massa och tyngdkraft. Detta ges av FG = mg, där m är massan och g tyngdaccelerationen (ca 9,82 m/s2, men som varierar med bl a latitud och höjd) och FG tyngdkraften. Ur detta samband följer att m = FG/g, vilket vi satt in i ekvation 1.

Betrakta nu bilden ovan. FG är tyngdkraften, FCF centrifugalkraften och FLO lastfaktorn uttryckt som kraft. Ofta uttrycker man lastfaktorn som multipel av tyngdkraften (dvs hur många gånger tyngre föremål i flygplanet är under svängen). Låt oss kalla denna multipel för n. Vi får då att FLO = n⋅FG (n anger således hur många gånger större FLO är än FG). I figuren ovan bildar vektorerna (kraftpilarna) FCF, FG och FLO en rätvinklig triangel där FLO utgör hypotenusan. Vi använder nu Pythagoras sats på denna triangel och får då:

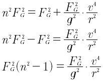
F2LO=F2G+F2CF

Vi ersätter nu FLO med n⋅FG och FCF med högra ledet i ekvation I (ovan) och erhåller:

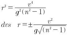
Ovan har vi gjort lite algebraiska förenklingar (på högstadienivå). I näst sista steget har vi flyttat över F2G till vänstra ledet (termen byter då tecken). Och i sista steget har vi brutit ut F2G i vänsterledet och kan då förkorta ekvationen med denna faktor (eftersom den finns i ekvationens båda led och dessutom garanterat är skild från noll — division med noll är förbjudet, eftersom detta leder till oändligheter). Vi löser nu ut r2 ur det sista sambandet och får.

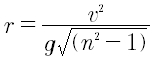
I sista steget har vi dragit kvadratroten av ekvationens båda led. Vi får egentligen två lösningar (en andragradsekvation har alltid 2 lösningar — i ovanstående fall är den ena positiv och den andra negativ). Den negativa lösningen är förvisso en korrekt matematisk lösning, men ingen fysikalisk sådan, eftersom radier inte kan vara negativa (i varje fall inte i vårt universum). Så den förkastar vi. Resultatet blir således:

Resultatet utgör ett viktigt samband mellan hastighet (v), lastfaktor (n) och svängradie (r). Vi ser att ju större hastighet (för visst givet n), desto större svängradie. Sambandet är dessutom kvadratiskt, dvs om v fördubblas så fyrdubblas svängradien. Farten har således mycket stor betydelse för svängradien. Jämför t ex exemplet i huvudartikeln med motorsegelflygplanet (85 km/h) och jettrafikflygplanet (850 km/h). Vid samma lastfaktor kommer jetplanet att ha 100 gånger större svängradie, eftersom dess fart är 10 gånger större (102 = 100).

Vidare ser vi att svängradien är ungefär omvänt proportionell mot lastfaktorn (stämmer hyfsat för n > 2 och stämmer allt bättre när n växer). Dvs ju mer g vi "drar" desto mindre blir svängradien. Drar vi dubbelt så många g halveras ungefär svängradien (för n > 2). I huvudartikeln har vi visat att bankningsvinkeln bestämmer lastfaktorn. Dvs ju mer vi bankar, desto större lastfaktor och desto mindre svängradie (sambandet mellan bankning och lastfaktor är oberoende av ett flygplans fart och tyngd).

Eftersom svängradien bestäms av fart och lastfaktor/bankningsvinkel, medan massan inte inverkar, kan således vitt skilda flygplanstyper flyga i formation med varandra. Så länge de håller samma fart och bankar lika mycket så kommer de att följa varandra, oavsett deras vikt.

Tillbaka till "Varför flyger flygplan?"
Tillbaka till huvudartikeln "Hur svänger ett flygplan?"
Tillbaka till Kristers Flygsida